贝瑞复合材料-专注PVDC涂布硬片,PVC/PE复合硬片研发和生产

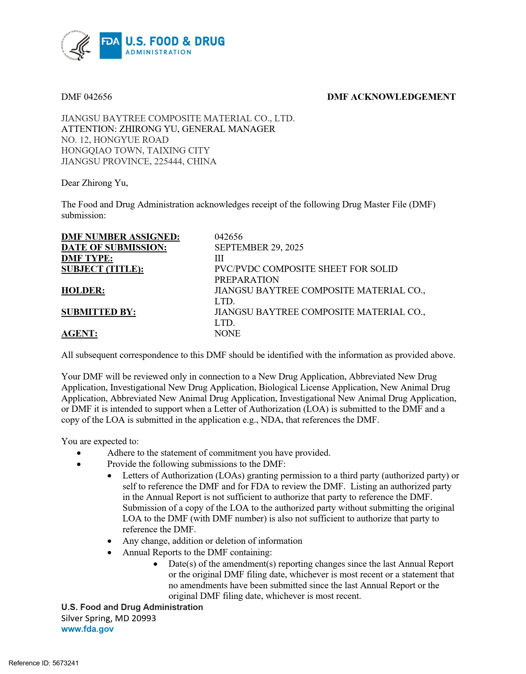
DMF 证书

2025/10/20

我们很高兴地宣布,我们于10月获得了美国食品药品监督管理局批准的DMF认证。

这标志着企业完成了GMP(良好生产规范)自检和数据提交。更能保证我们的生产加工流程和产品质量。

DMF.png